☞클릭☞  합격자 확인
Information
입시 Q&A
수시
수시 성적 산출
1학년 공통 과목의 과학탐구실험 넣을 수 있나요?
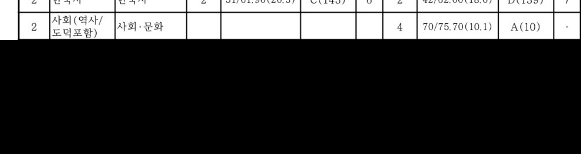
이 사회문화 교과도 넣을 수 있나요?
(원래 등급으로 나와야 되는 과목인 걸로 아는데 신청 인원수가 적어서 A,B,C로 나온거같아요 진로선택과목에 두 과목 다 넣을 수 있나요? 정확한 답변 부탁드립니다!!
이제은2025. 4. 9조회수1,201
1
관리매니저

공통과목명이 과학으로 반영되고 성취도로 평가된 과목은 일반교과로 분류되기 때문에 진로선택과목으로 반영되지 않습니다!

진로선택과목으로 반영하기 위해서는 공통과목의 분류가 진로선택과목이여야 반영가능합니다.

더 자세한 문의는 051-509-5305로 문의해주십시오. 감사합니다.